حرکت جسم در میان سیالات، از جمله هوا، نیروهای کششی را تجربه می کند. در این درس، معادلات سرعت و شتاب جسمی که به صورت افقی حرکت می کند و نیروی پسا را تجربه می کند، استخراج می کنیم.
قطار و حرکت مگلو (Maglev)
سریع ترین قطار جهان یک قطار مگلو در ژاپن است. ردیابی شده است که با سرعت 375 مایل در ساعت حرکت می کند! یک قطار مگلو بر روی دافعه الکترومغناطیسی کار می کند و حتی به ریل هم نمی رسد. به همین دلیل، تنها اصطکاک قابل توجهی که تجربه می کند، مقاومت هوا به نام نیروی کشش است .
بیایید به استخراج دو معادله مربوط به حرکت یک جسم به صورت افقی تحت تأثیر نیروی پساب هوا بپردازیم: سرعت نسبت به زمان و شتاب نسبت به زمان.
کشیدن خطی
فرض کنید قطار مگلو که به صورت افقی حرکت می کند، نیروی کشش خطی یا -kv را تجربه می کند. نیروهای افقی روی قطار را در نمودار جسم آزاد ترسیم می کنیم که نیروی اعمالی F و نیروی پسا -kv را نشان می دهد .
![]() |
ما به تازگی مرحله اول را در استخراج دو معادله حرکت خود تکمیل کرده ایم.
استخراج سرعت با توجه به زمان
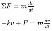
درست مانند کره بادام زمینی با ژله، قانون دوم نیوتن ، یا نیرو برابر است با جرم ضربدر شتاب (ΣF = ma)، و نمودارهای بدن آزاد با هم ترکیب می شوند. از آنجایی که نیروی پسا وابسته به سرعت است، شتاب ثابت نخواهد بود. یعنی باید قانون دوم نیوتن را به شکل دیفرانسیل بنویسیم. بیایید این کار را اکنون انجام دهیم و نیروهای افقی را وارد کنیم: dv و dt ، جایی که d نشان دهنده تمایز است.
![]() |
مرحله بعدی جدا کردن dv و dt است و مطمئن شوید که عبارت سرعت در همان سمت معادله dv قرار دارد.
![]() |
حالا می توانیم هر طرف را جداگانه انتگرال بگیریم. سمت dt فقط یک ثابت دارد، بنابراین ابتدا با این سمت شروع می کنیم. ما از نماد ... برای نگه داشتن جای سمت راست معادله استفاده می کنیم تا در حین انتگرال سمت چپ، حواس ما را پرت نکند.
![]() |
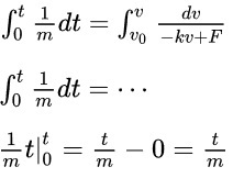
در ادامه به انتگرال سمت راست معادله می پردازیم. ما از … برای نگه داشتن حل سمت چپ استفاده می کنیم تا حواس ما را پرت نکند.
اولین قدم انجام تعویض u است. مخرج را برابر با u قرار می دهیم، مشتق آن را با توجه به v می گیریم و سپس dv را حل می کنیم. ما نمی توانیم متغیر u را با dv انتگرال گیری کنیم ، بنابراین عبارت برابر با dv را جایگزین dv می کنیم.
![]() |
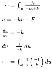
بیایید عبارت (-1/ k ) را بیرون بکشیم و آن را به طرف دیگر معادله بیاوریم.
![]() |
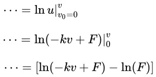
انتگرال لوگ طبیعی u است. سپس آنچه را که در معادله اصلی u نشان می دهد جایگزین می کنیم و آن را بین مرزهای v و v 0 = 0 ارزیابی می کنیم زیرا شی ما در حالت سکون شروع می شود.
![]() |
میتوانیم تفریق دو عبارت لوگ طبیعی را بهعنوان لاگ طبیعی نسبت جمله مثبت به جمله منفی بازنویسی کنیم.
![]() |
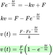
برای خلاص شدن از لوگ طبیعی، هر دو طرف معادله را به عنوان توان e نشان می دهیم .
![]() |
با حل v و فاکتورگیری، به دست می آوریم:
![]() |
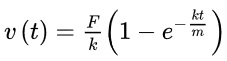
معادله سبز رنگ برجسته می تواند برای تعیین سرعت جرم در هر زمان استفاده شود.
حال بیایید معادله ای برای شتاب جسم در هر زمان استخراج کنیم.
اشتقاق شتاب با توجه به زمان
مشتق سرعت نسبت به زمان شتاب است.
![]() |
بیایید معادله سرعتی را که به دست آوردیم و مشتق آن را بگیریم.
![]() |
ما F/k را توزیع می کنیم و سپس مشتق هر دو عبارت را می گیریم. جمله اول یک ثابت است، بنابراین حذف می شود. مشتق e x e x است ، اما ما t را در توان داریم، بنابراین باید از قانون زنجیره استفاده کنیم و مشتق توان را بگیریم. که در جمله e ضرب می شود و k و منفی ها خنثی می شوند.
![]() |
آخرین مرحله ما ساده کردن معادله است.
![]() |
اکنون معادله شتاب جرم در هر زمان را داریم. اکنون بیایید برای تجسم این حرکت به نمودارهایی برای معادلات سرعت و شتاب تلاش کنیم.
منبع
https://study.com/academy/lesson/deriving-vertical-motion-equations-with-air-resistance.html














در این وبلاگ به ریاضیات و کاربردهای آن و تحقیقات در آنها پرداخته می شود. مطالب در این وبلاگ ترجمه سطحی و اولیه است و کامل نیست.در صورتی سوال یا نظری در زمینه ریاضیات دارید مطرح نمایید .در صورت امکان به آن می پردازم. من دوست دارم برای یافتن پاسخ به سوالات و حل پروژه های علمی با دیگران همکاری نمایم.در صورتی که شما هم بامن هم عقیده هستید با من تماس بگیرید.